Laurent's half shade polarimeter: To determine the specific rotation of optically active substance

Apparatus

Polarimeter, lamp, distilled water, sugar solution.

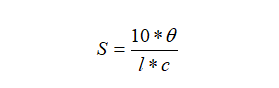
Formula

where,

   C - Concentration of solution,
   θ - Angleof rotation in degrees,
   S - Specific Rotation,
   l - Length of a tube.

Prior concept

Transverse wave, longitudinal wave, unpolarized light, polarized light, plane of polarization, plane of vibrations, double refracting crystals, Nicol prism, optical rotation, etc.

Theory

Polarimeter is an instrument designed to major the angle of rotation produce by substance. The essential parts of a Laurentz’s half shade polarimeter are shown in fig. above, S is the source of monochromatic light. L is convex lens which renders the incident light in to a parallel beam. N1 & N2 are two Nicole prisms, N1 acts as a polarizer while in to act as a analyzer, N2 is a capable of rotations about a common exist of N1 & N2. The rotations of analyzer N2 can be read on a graduated scale. The venire is also provided to read the fraction of degrees. light after passing through polarizer becomes plane polarized with its vibrations in the principal plane of Nicole prism N1 the plane polarized light now passes through half shade device (H.S.) & then through a tube T containing the solution of optically active substance. Usually, T is a hallow last tube having a large diameter in the middle so that no air bubble be in the path of light when field with liquid the emergent light on passing through analyzer N2 is viewed through telescope T.